近日,我院声学课题组与武汉大学声学课题组合作,在轨道声子晶体研究方面取得进展。研究团队在轨道声子晶体中插入规范通量实现了双重旺尼尔循环,相关成果以《Topological dual-Wannier cycles in orbital phononic crystals》为题发表在《Physical Review B》上。硕士研究生谢文杰为该论文第一作者,通讯作者为我院何兆剑老师和邓科教授以及武汉大学何海龙教授,香港六宝合典资料大全为第一单位。

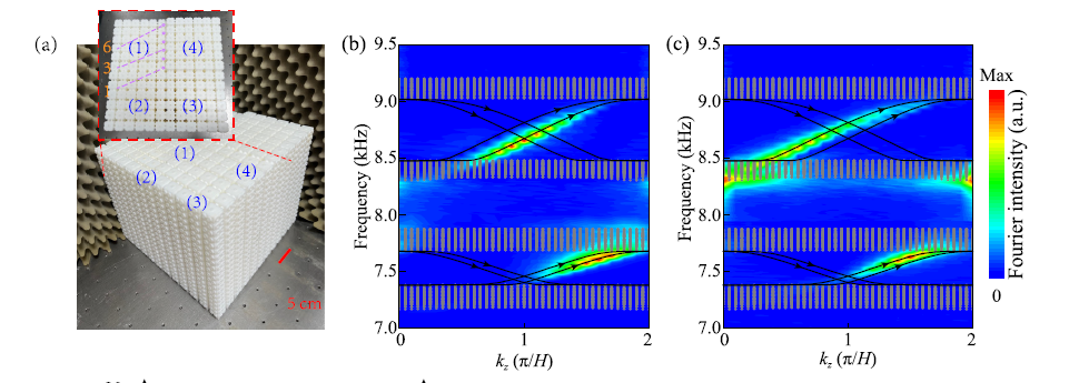
图1. 具有规范场的轨道声子晶体(a),理论和实验观察到的双重旺尼尔循环(b) 和 (c).
在原子体系中,电子通常占据基态,其特征为主量子数n=1及轨道角动量量子数l=0,该态被称为1s态。然而对于具有相同角动量量子数的态而言,轨道结构的复杂性随主量子数的增加而提升,例如对应n=2的2s态。当n=2且l=0时,原子轨道间的跃迁常涉及基态作为关键起始点或终点。除了电荷和自旋,内在轨道自由度在揭示相关电子和固态材料中的新拓扑相方面起着至关重要的作用。然而,由于所涉及材料的复杂性,将与轨道自由度直接相关的一些物理现象和机制分析单独分离出来仍是一项重大挑战。我们通过在轨道声子晶体中引入人工规范通量,实现了类2s、类3p和类4d状态之间拓扑双重旺尼尔循环。我们的系统专门设计用于模拟原子级轨道模,为探索经典波系统中的轨道拓扑效应提供了研究平台。
该项工作得到了国家自然科学基金项目的支持。
文章链接:https://journals.aps.org/prb/abstract/10.1103/hxs8-qw4r
(图文/胡伟鹏 一审/吴吉恩 二审/刘斯 三审/张国强)